TransphotoElektrischer Nahverkehr

Bildinformationen

352 KB


Foto-ID:954569
Dateigröße:352 KB
Autor:Кирилл Величко
Veröffentlicht am:15.09.2016 19:04 MSK
Tage seit Veröffentlichung:3363
Aufrufe:1478
Kommentare:9

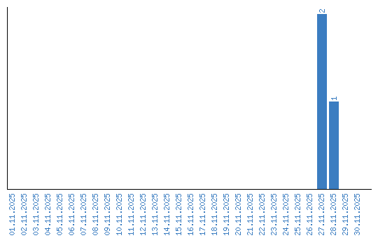
Aufrufestatistik (Tage)