TransPhotoГородской электротранспорт

Информация об изображении

409 КБ


Идентификатор изображения:952533
Размер файла:409 КБ
Автор:Angler
Опубликовано:08.09.2016 07:50 MSK
Находится на сайте, дней:3442
Уникальных просмотров:1798
Комментариев:12

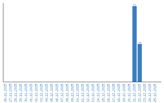
Динамика просмотров по датам