TransPhotoГородской электротранспорт

Информация об изображении

322 КБ


Идентификатор изображения:95152
Размер файла:322 КБ
Автор:дядя андрей
Опубликовано:02.10.2008 16:17 MSK
Находится на сайте, дней:6271
Уникальных просмотров:730
Комментариев:2

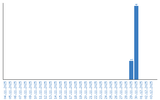
Динамика просмотров по датам