TransPhotoГородской электротранспорт

Информация об изображении

347 КБ


Идентификатор изображения:94924
Размер файла:347 КБ
Автор:Диман из КТМ-5
Опубликовано:02.10.2008 14:41 MSK
Находится на сайте, дней:6272
Уникальных просмотров:274
Комментариев:0

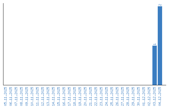
Динамика просмотров по датам