TransPhotoსაქალაქო ელექტრო ტრანსპორტი

Photo Statistics

300 KB


Photo ID:939185
File Size:300 KB
ავტორი:MaxFand
Date published:29.07.2016 08:31 MSK
Days since photo published:3404
Unique views:301
Comments:1

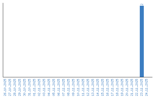
Viewing statistics by date