TransphotoTransports Électriques de Ville

Statistiques d'image

76 KB


ID de photo:936967
Taille du fichier:76 KB
Posté par:Andrei Dobre
Date de publication:22.07.2016 02:12 MSK
Jours dans la base de données:3413
Vues uniques:669
Commentaires:0

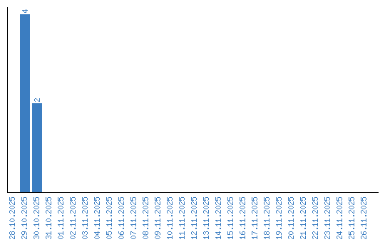
Affichage des statistiques par date