TransPhotoTransportul electric urban

Statistici foto

441 KB


ID-ul fotografiei:914867
Dimensiunea fișierului:441 KB
Autor:Михаил Абрамов
Data publicării:10.05.2016 20:53 MSK
Zile de când fotografia a fost publicată:3483
Vizualizări unice:374
Comentarii:0

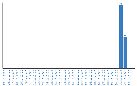
Vizualizarea statisticilor după dată