TransPhotoსაქალაქო ელექტრო ტრანსპორტი

Photo Statistics

462 KB


Photo ID:894226
File Size:462 KB
ავტორი:Oleg Prokor
Date published:11.03.2016 00:28 MSK
Days since photo published:3633
Unique views:482
Comments:2

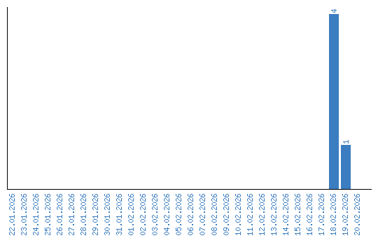
Viewing statistics by date