Transports Électriques de Ville | ||||||||||||||||
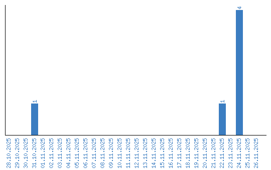
Statistiques d'image
Affichage des statistiques par date | ||||||||||||||||
| Indice Forums Termes et conditions Équipe éditoriale Thème foncé © Administration TransPhoto et auteurs de photos, 2002—2025
L'utilisation d'images de ce site web sans l'autorisation des auteurs est strictement interdite. |