TransPhotoҚалалық электр көлігі

Photo Statistics

244 КБ


Photo ID:812028
File Size:244 КБ
Автор:Игорь Сериков
Date published:25.05.2015 18:52 MSK
Days since photo published:3804
Unique views:790
Comments:0

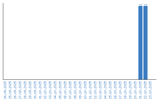
Viewing statistics by date