TransphotoUrban Electric Transit

Photo Statistics

114 KB


Photo ID:81033
File Size:114 KB
Author:Виктор Бергман
Date published:03.08.2008 01:43 MSK
Days since photo published:6278
Unique views:419
Comments:0

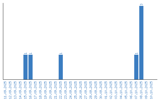
Viewing statistics by date