TransPhotoLinnade elektritransport

Informatsioon foto kohta

486 KB


Pildi ID:804053
Faili suurus:486 KB
Autor:Костян
Avaldatud:01.05.2015 10:44 MSK
Päevi saidil:3864
Unikaalseid vaatamisi:1063
Kommentaare:4

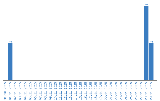
Vaatamiste statistika kuupäeviti