TransPhotoMiejski Transport Elektryczny

Informacja o zdjęciu

459 kB


Identyfikator zdjęcia:761344
Rozmiar pliku:459 kB
Przysłał:Ааре Оландер
Opublikowano:27.12.2014 16:23 MSK
Znajduje się na stronę, dni:3966
Odsłon:483
Komentarzy:0

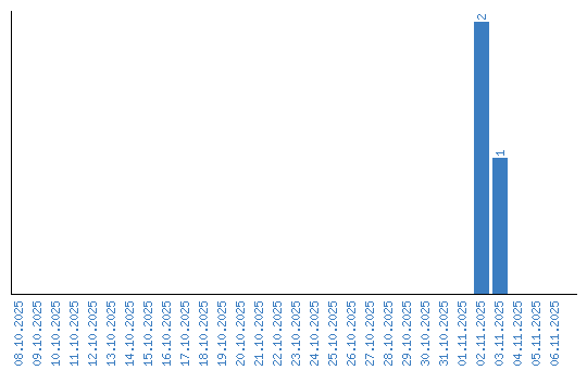
Liczba oglądających wg dat