TransphotoUrban Electric Transit

Photo Statistics

407 KB


Photo ID:754475
File Size:407 KB
Author:Гений 4
Date published:10.12.2014 19:10 MSK
Days since photo published:3997
Unique views:222
Comments:0

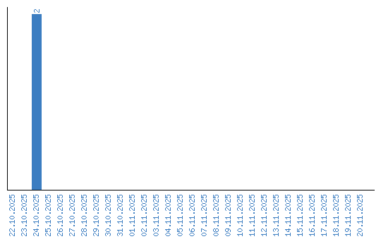
Viewing statistics by date