TransPhotoГородской электротранспорт

Информация об изображении

494 КБ


Идентификатор изображения:684234
Размер файла:494 КБ
Автор:Lizard King
Опубликовано:06.05.2014 18:08 MSK
Находится на сайте, дней:4293
Уникальных просмотров:2132
Комментариев:5

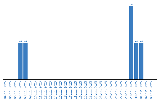
Динамика просмотров по датам