TransphotoUrban Electric Transit

Photo Statistics

254 KB


Photo ID:674491
File Size:254 KB
Author:Макс Вдовиченко
Date published:30.03.2014 16:16 MSK
Days since photo published:4224
Unique views:679
Comments:9

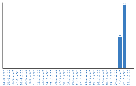
Viewing statistics by date