TransPhotoElektrinis miestų viešasis transportas

Nuotraukos informacija

487 Kb


Nuotraukos identifikatorius:647723
Bylos dydis:487 Kb
Autorius:Копылов Эдуард
Publikuota:13.12.2013 20:15 MSK
Yra tinklapyje dienų:4327
Unikalių peržiūrų:1721
Komentarų:12

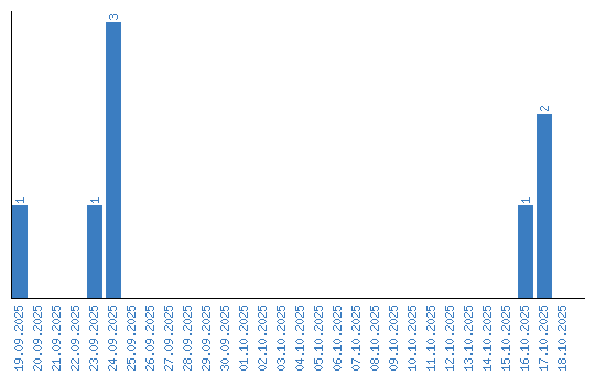
Peržiūrų dinamika pagal dienas