TransFotoTransporte eléctrico urbano

Photo Statistics

292 KB


Photo ID:576078
File Size:292 KB
Autor:Убийца КТМов-5
Date published:14.03.2013 20:15 MSK
Days since photo published:4709
Unique views:317
Comments:5

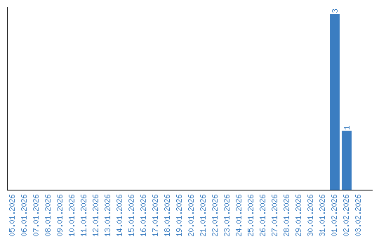
Viewing statistics by date