TransPhotoГородской электротранспорт

Информация об изображении

487 КБ


Идентификатор изображения:567502
Размер файла:487 КБ
Автор:Guaglione
Опубликовано:13.02.2013 17:55 MSK
Находится на сайте, дней:4729
Уникальных просмотров:1011
Комментариев:28

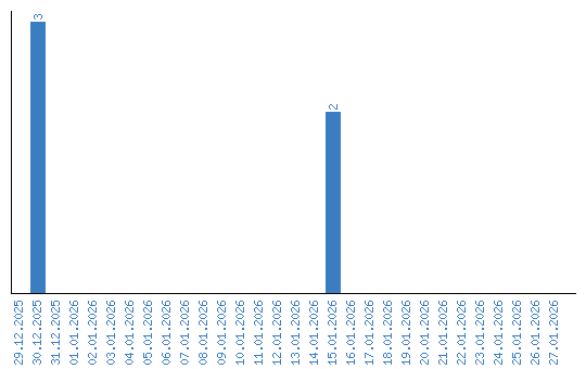
Динамика просмотров по датам