TransPhotoLinnade elektritransport

Informatsioon foto kohta

496 KB


Pildi ID:535418
Faili suurus:496 KB
Autor:Дмитрий Михайлов
Avaldatud:26.09.2012 20:28 MSK
Päevi saidil:4797
Unikaalseid vaatamisi:1224
Kommentaare:10

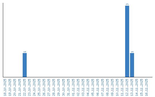
Vaatamiste statistika kuupäeviti