TransphotoElektrični gradski prijevoz

Photo Statistics

286 KB


Photo ID:525619
File Size:286 KB
Autor:Dimon303
Date published:20.08.2012 12:09 MSK
Days since photo published:4820
Unique views:658
Comments:17

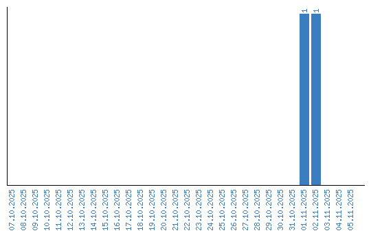
Viewing statistics by date