TransPhotoГородской электротранспорт

Информация об изображении

364 КБ


Идентификатор изображения:518546
Размер файла:364 КБ
Автор:андрюха
Опубликовано:22.07.2012 23:48 MSK
Находится на сайте, дней:4908
Уникальных просмотров:1326
Комментариев:14

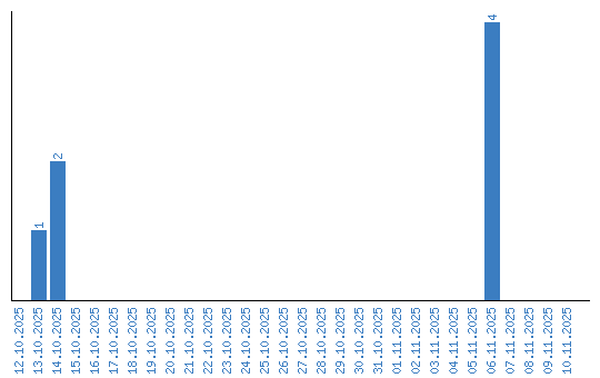
Динамика просмотров по датам