TransPhotoГородской электротранспорт

Информация об изображении

451 КБ


Идентификатор изображения:511694
Размер файла:451 КБ
Автор:Violator
Опубликовано:28.06.2012 14:25 MSK
Находится на сайте, дней:4907
Уникальных просмотров:2157
Комментариев:22

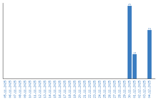
Динамика просмотров по датам