TransPhotoMestská Elektrická Hromadná Doprava

Štatistika obrázku

239 kB


Identifikátor obrázku:511279
Veľkosť súboru:239 kB
Zaslal:DSh
Zverejnené:27.06.2012 01:41 MSK
Nachádza sa na stránkach (dní):4949
Jednotlivých zhliadnutí:601
Komentárov:1

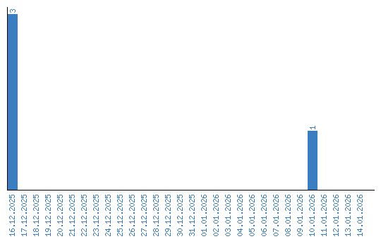
Zobrazenia po jednotlivých dňoch