TransphotoTransports Électriques de Ville

Statistiques d'image

320 KB


ID de photo:455230
Taille du fichier:320 KB
Auteur:Артём Мальгинов
Date de publication:17.12.2011 10:18 MSK
Jours dans la base de données:5185
Vues uniques:904
Commentaires:7

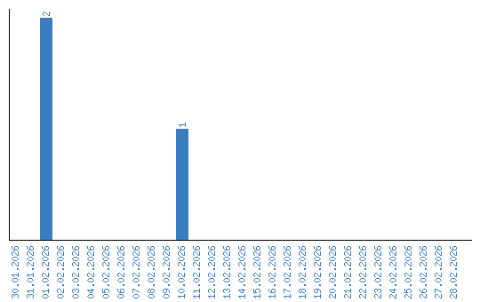
Affichage des statistiques par date