TransphotoTransports Électriques de Ville

Statistiques d'image

365 KB


ID de photo:453156
Taille du fichier:365 KB
Auteur:Maksimus
Date de publication:11.12.2011 12:08 MSK
Jours dans la base de données:5094
Vues uniques:199
Commentaires:1

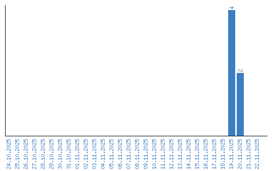
Affichage des statistiques par date