TransphotoElektrični gradski prijevoz

Photo Statistics

378 KB


Photo ID:450920
File Size:378 KB
Autor:Maksimus
Date published:02.12.2011 21:58 MSK
Days since photo published:5102
Unique views:228
Comments:1

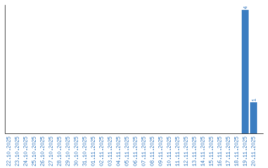
Viewing statistics by date