TransphotoUrban Electric Transit

Photo Statistics

358 KB


Photo ID:435149
File Size:358 KB
Author:АндрейС
Date published:02.10.2011 13:59 MSK
Days since photo published:5161
Unique views:1222
Comments:4

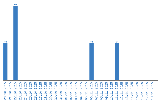
Viewing statistics by date