TransPhotoГородской электротранспорт

Информация об изображении

245 КБ


Идентификатор изображения:41532
Размер файла:245 КБ
Автор:Anton
Опубликовано:30.12.2007 18:41 MSK
Находится на сайте, дней:6549
Уникальных просмотров:2808
Комментариев:5

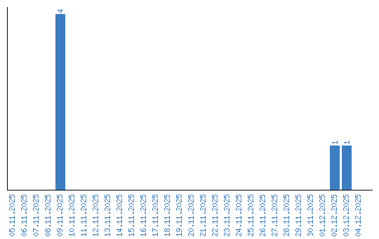
Динамика просмотров по датам