Jármű-adatbázis
Járműtípusok
Villamos
Trolibusz
Metró
Egysínű vasút
Sikló
Translohr
Automata kötöttpályás üzem
Mágnesvasút
Villanybusz
Városok és üzemek
Villamos
Trolibusz
Metró
Egysínű vasút
Sikló
Translohr
Automata kötöttpályás üzem
Mágnesvasút
Villanybusz
Országok
Adatbázis-változások
Egyéb információk
Hírek és üzemtörténet
Vegyes galériák
Fotóverseny
Térképek
Világtérkép
Azonosítatlan képek
Az oldal hírei
Transphoto Klub
Linkek
Videotár
Kommentek
Frissítések
Új képek
Hírek
Dátum szerinti frissítések
Súgó
Felhasználási feltételek
Képek publikálási feltételei
Képfeliratozási szabályok
Videotár szabályai
Visszautasítás okai
Fórumok
Keresés
Képek keresése
Járművek keresése
Kommentek keresése
Felhasználók keresése
Bejelentkezés
Regisztráció!
Magyar
Русский
Беларуская
Українська
Български
Қазақ тілі
Polski
Čeština
Slovenčina
English
Deutsch
Français
Română
Eesti
Lietuvių
Latviešu
Hrvatski
Magyar
ქართული ენა
Suomi
汉语
Elektromos városi közlekedés
Képadatok
Képazonosítő:
403110
Kép mérete:
292 KB
Feltöltötte:
Работник ТУ
Publikálás napja:
25.05.2011 12:31 MSK
Hány napja látható:
5266
Megtekintések:
1538
Kommentek:
1
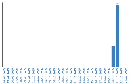
Naponkénti megtekintések
Kezdőlap
Fórumok
Felhasználási feltételek
Szerkesztők
Sötét nézet
© TransPhoto szerkesztők és fotósok, 2002—2025
A honlapon szereplő képek felhasználása a szerzők hozzájárulása nélkül tilos!.