TransPhotoTransportul electric urban

Statistici foto

358 KB


ID-ul fotografiei:397992
Dimensiunea fișierului:358 KB
Autor:mYm
Data publicării:03.05.2011 10:20 MSK
Zile de când fotografia a fost publicată:5322
Vizualizări unice:926
Comentarii:8

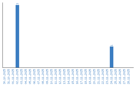
Vizualizarea statisticilor după dată