TransPhotoГородской электротранспорт

Информация об изображении

324 КБ


Идентификатор изображения:387374
Размер файла:324 КБ
Автор:Шпекавыг
Опубликовано:24.03.2011 14:42 MSK
Находится на сайте, дней:5444
Уникальных просмотров:1506
Комментариев:35

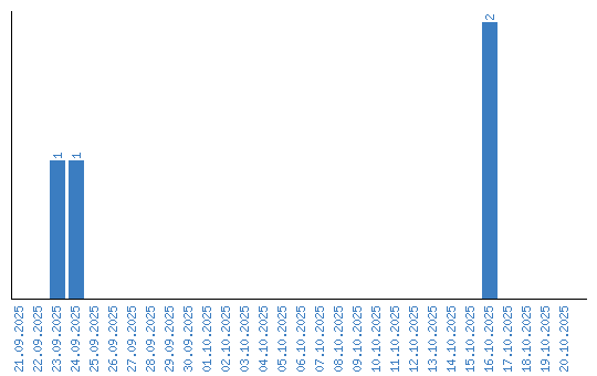
Динамика просмотров по датам