TransPhotoElektrinis miestų viešasis transportas

Nuotraukos informacija

224 Kb


Nuotraukos identifikatorius:372131
Bylos dydis:224 Kb
Autorius:LIS
Publikuota:31.01.2011 02:18 MSK
Yra tinklapyje dienų:5478
Unikalių peržiūrų:1258
Komentarų:7

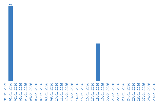
Peržiūrų dinamika pagal dienas