TransphotoSähköinen kaupunkiliikenne

Kuvan tilastot

345 KB


Kuvan numero:347160
Tiedoston koko:345 KB
Kuvaaja:Александр Конов
Julkaisupäivä:08.11.2010 20:30 MSK
Kuvan olemmassaoloaika tietokannassa päivinä:5497
Ainutlaatuiset näyttökerrat:1693
Kommentit:5

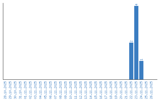
Päiväkohtaisten tilastojen näyttäminen