TransphotoElektromos városi közlekedés

Képadatok

350 KB


Képazonosítő:331927
Kép mérete:350 KB
Készítette:Robert Leichsenring
Publikálás napja:07.09.2010 23:49 MSK
Hány napja látható:5551
Megtekintések:1004
Kommentek:4

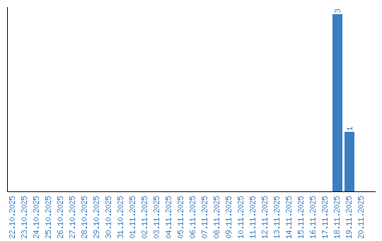
Naponkénti megtekintések