TransphotoElektrični gradski prijevoz

Photo Statistics

319 KB


Photo ID:321385
File Size:319 KB
Autor:Илюха_ЛэП
Date published:20.07.2010 13:43 MSK
Days since photo published:5586
Unique views:621
Comments:5

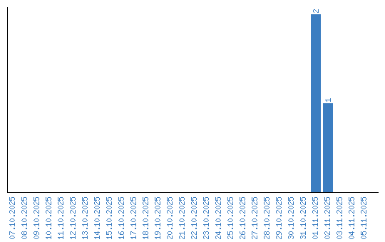
Viewing statistics by date