TransPhotoГородской электротранспорт

Информация об изображении

329 КБ


Идентификатор изображения:321063
Размер файла:329 КБ
Автор:Транспортник
Опубликовано:19.07.2010 01:01 MSK
Находится на сайте, дней:5619
Уникальных просмотров:2120
Комментариев:31

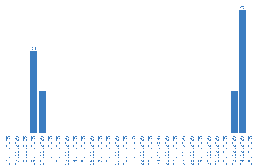
Динамика просмотров по датам