TransPhotoKentsel Elektrikli Ulaşım

Photo Statistics

266 KB


Photo ID:295770
File Size:266 KB
Yazar:Anton
Date published:25.04.2010 01:29 MSK
Days since photo published:5741
Unique views:1155
Comments:6

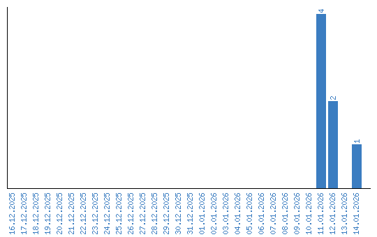
Viewing statistics by date