TransphotoElektromos városi közlekedés

Képadatok

266 KB


Képazonosítő:275698
Kép mérete:266 KB
Készítette:Taganka
Publikálás napja:22.02.2010 19:41 MSK
Hány napja látható:5760
Megtekintések:760
Kommentek:1

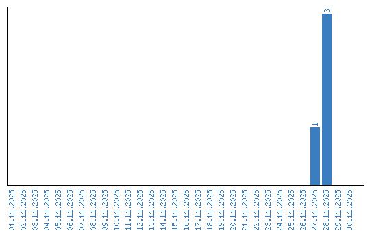
Naponkénti megtekintések