TransPhotoГородской электротранспорт

Информация об изображении

35 КБ


Идентификатор изображения:26036
Размер файла:35 КБ
Автор:Артём Светлов
Опубликовано:18.07.2007 10:29 MSK
Находится на сайте, дней:6737
Уникальных просмотров:2510
Комментариев:9

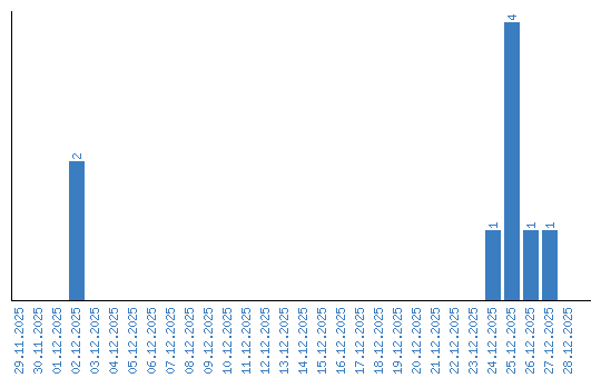
Динамика просмотров по датам