TransPhotoPilsētas elektrotransports

Informācija par attēlu

346 KB


Attēla identifikātors:254433
Faila lielums:346 KB
Autors:Сергей Сергеев из Орла
Ir publicēts:15.12.2009 19:57 MSK
Atrodas vietnē, dienās:5798
Unikāli skatījumi:453
Komentārus:0

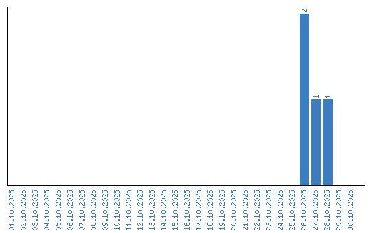
Dinamika skatišana pēc datuma