TransPhotoГородской электротранспорт

Информация об изображении

277 КБ


Идентификатор изображения:236052
Размер файла:277 КБ
Автор:Anton
Опубликовано:19.10.2009 00:19 MSK
Находится на сайте, дней:5972
Уникальных просмотров:904
Комментариев:0

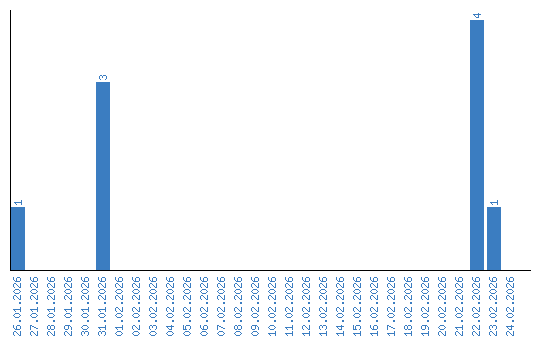
Динамика просмотров по датам