TransPhotoTransportul electric urban

Statistici foto

278 KB


ID-ul fotografiei:231617
Dimensiunea fișierului:278 KB
Autor:Шпекавыг
Data publicării:05.10.2009 22:31 MSK
Zile de când fotografia a fost publicată:5931
Vizualizări unice:1568
Comentarii:3

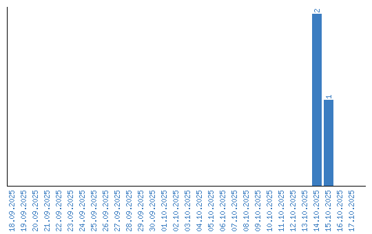
Vizualizarea statisticilor după dată