TransphotoUrban Electric Transit

Photo Statistics

139 KB


Photo ID:223782
File Size:139 KB
Author:Семен Семеныч
Date published:10.09.2009 23:11 MSK
Days since photo published:5886
Unique views:531
Comments:2

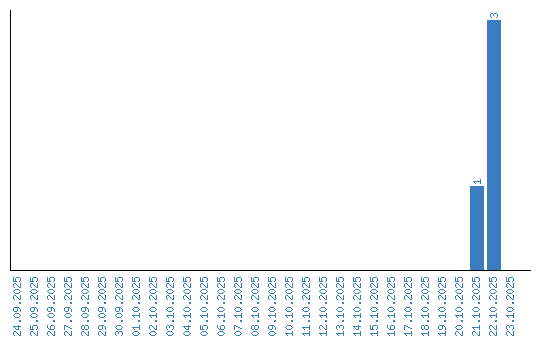
Viewing statistics by date