TransphotoElektrični gradski prijevoz

Photo Statistics

527 KB


Photo ID:2227359
File Size:527 KB
Autor:Mettal
Date published:31.12.2025 21:40 MSK
Days since photo published:58
Unique views:283
Comments:0

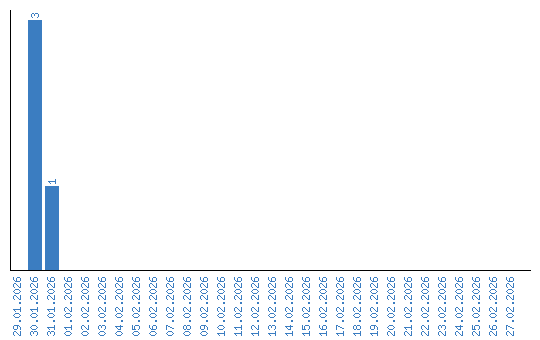
Viewing statistics by date