TransphotoElektrischer Nahverkehr

Bildinformationen

929 KB


Foto-ID:2224824
Dateigröße:929 KB
Autor:Бутенко Максим
Veröffentlicht am:26.12.2025 03:46 MSK
Tage seit Veröffentlichung:47
Aufrufe:348
Kommentare:0

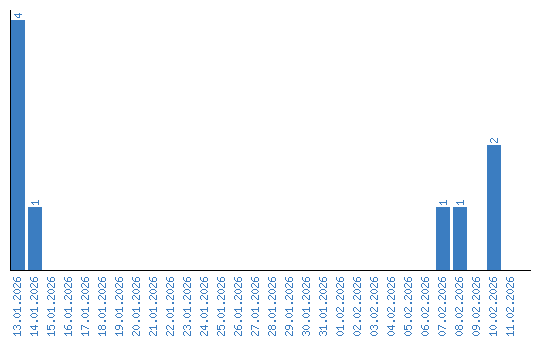
Aufrufestatistik (Tage)