TransPhotoElektrická Městská Doprava

Statistika obrázku

309 kB


Identifikátor obrázku:2222995
Velikost souboru:309 kB
Zaslal:Scoda
Zveřejněno:21.12.2025 22:15 MSK
Nachází se na stránkách (dní):48
Jednotlivých zhlédnutí:215
Komentářů:0

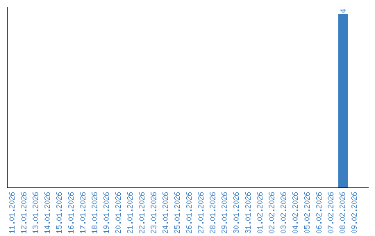
Zhlédnutí po jednotlivých dnech