TransphotoElektrični gradski prijevoz

Photo Statistics

9987 KB


Photo ID:2207979
File Size:9987 KB
Autor:Adam735
Date published:16.11.2025 12:26 MSK
Days since photo published:64
Unique views:87
Comments:0

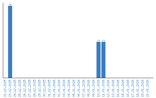
Viewing statistics by date