TransphotoElektrični gradski prijevoz

Photo Statistics

1923 KB


Photo ID:2201979
File Size:1923 KB
Autor:met10000
Date published:04.11.2025 20:48 MSK
Days since photo published:72
Unique views:135
Comments:0

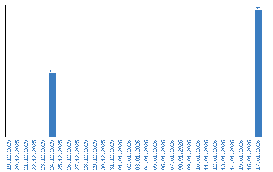
Viewing statistics by date