TransFotoTransporte eléctrico urbano

Photo Statistics

683 KB


Photo ID:2201590
File Size:683 KB
Autor:Fjord Below
Date published:03.11.2025 23:44 MSK
Days since photo published:95
Unique views:103
Comments:0

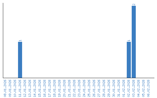
Viewing statistics by date